令和7年度10月からの最低賃金一覧表及び移動販売における最低賃金の考え方
業界ニュース
令和7年度10月からの最低賃金一覧表及び移動販売における最低賃金の考え方
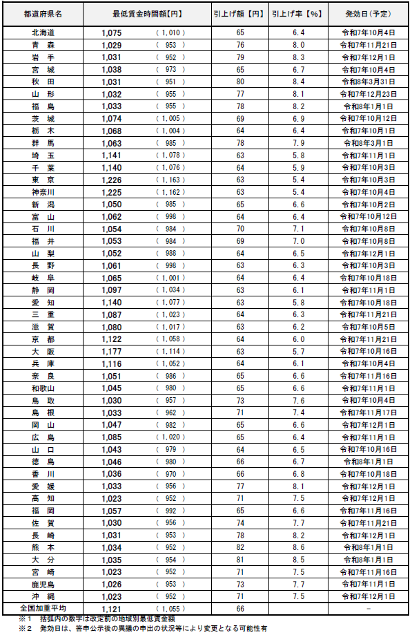
全国各地の最低賃金が改定されます。引き上げ額の一番高い熊本県で82円、引き上げ額最小は東京などの63円でした。
これにより全国で時給が1,000円以上となります。
急激な上昇ということもあり、影響も考慮して引き上げ時期は10月1日~令和8年3月31日とバラバラとなりました。
出発地と勤務地が違う場合の賃金は?
移動販売の場合、集合場所と勤務場所が異なる場合がありますがその場合の最低賃金はどうするか?
● 神奈川県のキッチンカー事業者の場合(最低賃金:神奈川県1,225円、東京都1,226円)
・同じ神奈川県で販売する場合 1,225円。
・神奈川県の事務所に集合して東京都の現場へ一緒に移動して販売する場合 1,225円
・東京都の現場に現地集合・現地解散して販売する場合 1,226円
・神奈川県の現場で準備・片付けをして東京都で販売する場合 1,225円
・スポットバイトを東京で勤務させる場合 1,226円
基本的には所属する事業所がある場合はその事業所の最低賃金が適用されます。
神奈川県の事業所で採用されていても、日常的に東京都へ現地集合・解散をしている場合は東京都の最低賃金が採用されます。
スポットバイトに常用性はありませんので当該勤務地の最低賃金が適用されます。
また2県にまたがる仕事の場合はより高い賃金の方を適用されます。

この記事の関連記事
【移動販売入門】税理士のご紹介
【移動販売入門】税理士の選び方 【掲載希望の方】こちらのペ…
【移動販売入門】税理士の選び方 【掲載希望の方】こちらのペ…
運転免許が失効した場合はどうすればいい?
運転免許が失効した場合はどうすればいい? 【掲載希…
運転免許が失効した場合はどうすればいい? 【掲載希…
令和8年度(2026年度) 雇用保険料率の改定に関するお知らせ
令和8年度(2026年度) 雇用保険料率の改定に関するお…
令和8年度(2026年度) 雇用保険料率の改定に関するお…
令和8年6月1日~ 【三重県】(移動販売車)営業許可が県内一円に統一されます
【令和8年6月1日~】【三重県】(移動販売車)営業許可が県内…
【令和8年6月1日~】【三重県】(移動販売車)営業許可が県内…
移動販売車 営業許可map 令和8年4月版
移動販売車 営業許可map 令和8年4月版 【掲載…
移動販売車 営業許可map 令和8年4月版 【掲載…
令和8年4月1日~ 【奈良県】(移動販売車)営業許可が県内一円に統一されました
【令和8年4月1日~】【奈良県】(移動販売車)営業許可が県内…
【令和8年4月1日~】【奈良県】(移動販売車)営業許可が県内…
業務スーパー総力祭第二弾始まりました!
業務スーパー総力祭第二弾始まりました! 【掲載希望…
業務スーパー総力祭第二弾始まりました! 【掲載希望…
【経費節減入門】車両バッテリーは売却できる
不要になった車のバッテリー、お金を払って捨てていませんか…
不要になった車のバッテリー、お金を払って捨てていませんか…







